Warning
This page is located in archive. Go to the latest version of this course pages. Go the latest version of this page.

Tutorial 3 - reinforcement learning III.

Problem 1 - Passive reinforcement learning

Consider the following MDP. Assume that reward is in the form $r(s,a)$, i.e., $r: S \times A \mapsto \mathbb{R}$. Set $\gamma = \frac{1}{2}$. Suppose that you have seen the following sequence of states, actions, and rewards: $$ s_1, \mathrm{switch}, s_2, \mathrm{stay}, +1, s_2, \mathrm{stay}, +1, s_2, \mathrm{switch}, s_1, \mathrm{stay}, s_1, \mathrm{switch}, s_1, \mathrm{switch}, s_1, \mathrm{stay}, s_1, \mathrm{switch}, s_2, \mathrm{stay}, +1, {\color{lightgray} s_{\color{lightgray} 2}} $$

  1. What is $\hat{U}^{\pi}(s_i)$ calculated by the Every-visit Monte-Carlo policy evaluation algorithm (in AIMA called Direct Utility Estimation algorithm)?
  2. How would You estimate the transition model $\hat{\mathcal{P}}$ so that the policy can be evaluated by the Policy iteration algorithm? (This approach is sometimes called Adaptive Dynamic Programming algorithm.)
  3. What are state values estimated by a Temporal Difference learning agent after two steps? Assume that $\alpha=0.1$ and all values are initialized to zero.

Problem 2 - Greedy policy and value function

Decide whether the following statement is true or false: If a policy $\pi$ is greedy with respect to its own value function $U^{\pi}$, then this policy is an optimal policy.

Problem 3 - GLIE and convergence

Do the following exploration/exploitation schemes fulfill the 'infinite exploration' and 'greedy in limit' conditions? Which lead to convergence of $Q$-values in $Q$-learning and which lead to convergence of $Q$-values in SARSA. Does anything change if we are interested in the convergence of policy? $N_{s,a}$ denotes the number of times when action $a$ was taken in state $s$. $N_s$ is defined similarly.

  1. a random policy
  2. $$ \pi(s) = \begin{cases} a, & \mbox{if } N_{s,a} \leq 100, \\ \mathop{\mathrm{arg\, max}}_a Q(s,a), & \mbox{otherwise}.\end{cases} $$
  3. $\varepsilon$-greedy policy with $\varepsilon = \frac{1}{N_s^2}$
  4. $\varepsilon$-greedy policy with $\varepsilon = \frac{1,000}{999+N_s}$
  5. $\varepsilon$-greedy policy with $\varepsilon = \frac{1}{\sqrt{N_s}}$

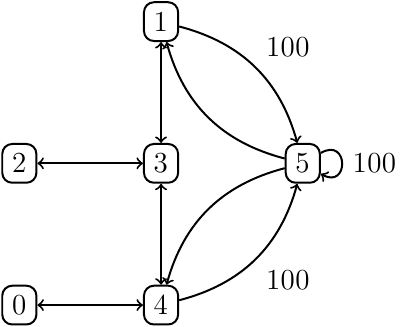
Consider the following MDP with $\gamma=0.8$, $r(5) = 100$, $r(\cdot) = 0$. The initial matrix of $Q$-values is $$ Q(s,a) = \begin{bmatrix} - & - & - & - & 0 & - \\ - & - & - & 0 & - & 0 \\ - & - & - & 0 & - & - \\ - & 0 & 0 & - & 0 & - \\ 0 & - & - & 0 & - & 0 \\ - & 0 & - & - & 0 & 0 \end{bmatrix}. $$ Consider path $1-5-1-3$ and constant learning rate $\alpha = 0.1$. Show changes in $Q$ values after the agent-environment interaction.

References

Problems 1,2, and 4 were adapted from Richard Sutton's 609 course. You may find the related materials on http://www.incompleteideas.net/book/the-book-2nd.html.

courses/smu/tutorials/tutorial9.txt · Last modified: 2025/02/10 10:35 (external edit)